V1418 Cygt と新変光星を観測
これの続きです。
この(無)変光星を何度か観測していて、3つ未発見の新変光星を見つけました。
そのうち二つはもうVSXに登録できていますが、
3つ目のKaiV29はまだなので再度観測を昨晩試みました。雲の通過が多く、月もガンガンと明るくてどうも良いデータは取れませんでした。まあ、変光しているという確認と大雑把な周期はあっていそうだということが収穫でしょうか。
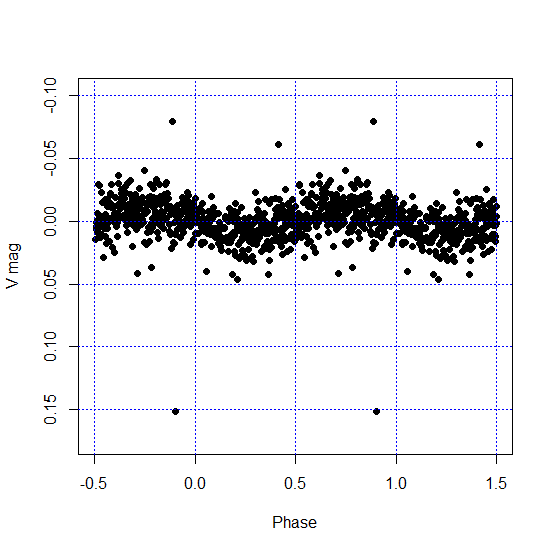
これは以前の観測とそれから作った位相図です。
これの続きです。
この(無)変光星を何度か観測していて、3つ未発見の新変光星を見つけました。
そのうち二つはもうVSXに登録できていますが、
3つ目のKaiV29はまだなので再度観測を昨晩試みました。雲の通過が多く、月もガンガンと明るくてどうも良いデータは取れませんでした。まあ、変光しているという確認と大雑把な周期はあっていそうだということが収穫でしょうか。
これは以前の観測とそれから作った位相図です。